原标题:金融发展、科技创新与产业结构升级——基于长江三角洲数据的中介效应模型分析
基于长江三角洲地区上海、江苏、浙江和安徽4个省市2005-2019年数据,构建中介效应模型,实证分析金融发展、科技创新与产业结构升级之间的影响关系。
结果表明:在长江三角洲地区,科技创新能够显著促进金融发展和产业结构升级,并且科技创新能够通过提升金融发展水平进而推动产业结构升级。
为此,推动长江三角洲地区产业结构升级,促进经济高质量发展,应当继续激发科技创新活力,保持创新驱动效益;优化金融资源配置,确保资金保障功能;统筹金融科技融合,助力释放综合效益。
		 
 	
▲汪发元
长江大学经济与管理学院教授,硕士生导师,研究方向为区域经济和农业经济。
何智励
长江大学经济与管理学院硕士研究生,研究方向为区域经济。
孟魁
长江大学经济与管理学院副教授,研究方向为物流管理。
一、引言
当今世界处于百年未有之大变局,我国经济面临前所未有的机遇和挑战。习近平总书记适时提出构建以国内大循环为主体,国内国际双循环相互促进的新发展格局,以期加快实现我国经济高质量发展。为此,加大供给侧结构性改革的力度,推动经济结构和产业结构不断高级化合理化,成为经济发展和改革中的重要议题。
产业结构升级是提升国家的国际竞争力,促进经济稳增长的重要策略。在我国高质量发展新阶段,产业结构的转型升级是题中应有之义。金融是现代经济的核心,创新是引领发展的第一动力,在产业结构升级过程中,两者势必成为重要战略支点。
长江三角洲地区作为我国经济发展最活跃、金融发展程度最高和创新能力最强的区域之一,自2018年在习近平总书记亲自谋划、部署和推动下,构建起长三角一体化的重大国家战略,承担起成为我国金融发展和科技创新开路先锋的重任。
因此,研究长江三角洲地区金融发展、科技创新对产业结构升级的影响,并提出政策建议,对于完善长江三角洲地区产业结构转型升级,突破区域经济发展瓶颈,实现地区经济高质量一体化发展具有重要的现实意义。
二、文献综述
实践证明,产业结构升级是推动经济高质量发展的重要举措。而基于产业结构与经济增长阶段的一致性,通过考察产业结构变迁来探寻我国经济增长阶段与增速变动情况⁽¹⁾的文献众多,并且在此基础上讨论产业结构升级影响因素的研究也愈来愈多。
其中,徐鹏杰等⁽²⁾研究认为要素市场化配置、城镇化发展和研发投入都能够显著促进我国产业结构转型升级,而政府治理现代化的积极作用存在着南北差异。
基于人力资本与产业结构升级之间非线性关系的研究认为,人力资本存量、人力资本分布结构和人力资本内部结构均有助于产业结构的优化调整,但存在显著的门槛特征⁽³⁾。
一般认为,合理的环境规制能够通过优化产业结构提升经济增长质量,而进一步的研究显示,正式与非正式的环境规制对于产业结构升级存在区域异质性⁽⁴⁾。同时,环境规制和政府研发补贴的耦合效应能够增强“创新补偿效应”,从而促进产业结构升级⁽⁵⁾。
随着互联网时代的全面到来,互联网发展对于产业结构升级也呈现出显著的促进作用,并且技术创新和人力资本承担了重要的中介传导作用⁽⁶⁾。
金融作为现代经济的核心,对产业结构升级具有重要的影响作用。杜金岷等 ⁽⁷⁾从理论和实证两个层面分析认为,数字惠普金融显著促进了我国产业结构优化,对产业结构合理化、高级化和产业内部演化趋势贡献显著。
庞敏等⁽⁸⁾实证检验得出金融创新不仅能促进产业结构升级,还能有效推动产业结构的高级化和合理化。基于金融结构和产业结构的时空演变特征角度进行的分析认为,我国金融结构和产业结构均存在显著的区域非均衡性,但是金融发展能够带动产业结构发生相似变动,且具有显著的正外部性⁽⁹⁾。
龙海明等⁽¹º⁾实证研究认为,金融发展水平的提高虽能显著促进本地区产业结构的高级化和高效化,但是具有显著的负向空间溢出效应。当然,也有实证分析认为金融发展与产业结构之间的关系不显著⁽¹¹⁾。
理论分析认为,技术创新能够通过提高劳动生产率、加速产业转型以及增强产业联动,有效促进产业结构升级⁽¹²⁾。
董长瑞等⁽¹³⁾基于山东省的实证分析支持了这一结果,认为提高企业科技创新能力有助于产业结构升级。而且科技体制综合改革对产业结构合理化和高级化也有显著影响,并且随着时间推移,优化升级的累积效应逐步增大⁽¹⁴⁾。
在技术创新与金融发展双重约束下,各地区技术创新保护与金融发展均有助于产业结构升级⁽¹⁵⁾。其影响路径表现为金融结构市场通过技术创新影响产业结构升级⁽¹⁶⁾,但是这一传导机制也会具有阶段异质性⁽¹⁷⁾。
综上所述,学术界关于产业结构升级影响因素的研究文献众多,对金融发展与科技创新影响产业结构升级的研究也颇为丰富,其中关于科技创新在金融发展促进产业结构升级过程中的中介效应的研究也较为丰富。
但是,鲜少有研究关于金融发展在科技创新促进产业结构升级过程中发挥中介作用的文献,而基于长江三角洲地区实证检验金融发展和科技创新影响产业结构升级的文献更是少见。
长江三角洲地处长江下游,以上海为龙头、苏浙皖三地各扬所长,不仅在长江经济带一体化发展中发挥着重要的带动作用,更在全国经济社会发展中承担着积极的表率作用。而且,长三角地区一直不遗余力勇当经济与金融发展的排头兵、科技和产业创新的尖刀连,持续加快产业结构转型升级,致力于建设国内国际“双循环”新发展格局、打造经济高质量发展新样板。
基于此,本文以长三角上海、江苏、浙江和安徽四个省市为例,分析金融发展和科技创新对产业结构升级的影响路径,对于促进产业结构转型优化,完善长三角区域一体化发展具有重要的现实意义。
三、研究设计
(一)模型构建
科技创新对产业结构升级的作用表现在两个方面:
一方面,科技创新不仅能够为产业结构升级提供必要的技术支持,突破产业升级过程中的技术瓶颈,同时还能直接带动产业创新,优化产业竞争格局,促进产业结构升级;
另一方面,基于金融天然的趋利性,金融资金会跟随科技创新的趋势流动,将资金引入最新最前沿的领域,突破传统金融业的服务范围,刺激金融市场的多元性和包容性。
而发达的金融市场和完备的金融体系,能够提供更多更好的融资服务,解决产业结构升级过程中资金困境,进而提升产业结构升级的速率和质量。
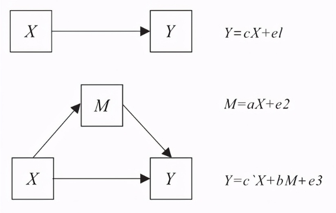
以上理论分析描述了“科技创新-金融发展-产业结构升级”的完整路径。有鉴于此,本研究选择中介效应模型进行实证检验,验证在科技创新对产业结构升级的影响过程中,是否存在金融发展的中介效应,即科技创新能否通过金融发展这一中介变量对产业结构升级产生显著的正向影响。
三变量中介效应模型如图1所示,若自变量X能够通过影响变量M而对因变量Y产生一定影响,则称M为中介变量。若模型中的系数a、b和c同时显著,则证明存在中介效应,且中介效应在总效应中的占比为ab/c。而且,如果c`显著,则为非完全中介效应(或部分中介效应);如果c`不显著,则为完全中介效应。(未完)
图1 三变量中介效应示意图
		 
 	
编辑│张孟月
基金项目:
湖北省教育厅科学技术研究计划重点项目“长江中游航运中心与长江经济带产业转型升级协同发展研究”(D20171301)。
		
	
[1]韩英,马立平.中国高质量发展阶段下的产业结构变迁与经济增长研究——基于结构-效率-速度的逻辑框架[J].经济与管理研究,2020(12):28-40.
[2]徐鹏杰,王宁,杨乐晴.要素市场化配置、政府治理现代化与产业转型升级[J].经济体制改革,2020(5):86-92.
[3]陈朝阳,孟繁倩,吕荣杰,俞会新.人力资本对产业结构升级的影响——基于面板门槛回归模型的研究[J].管理现代化,2020 (5):106-110.
[4]刘玉凤,高良谋.异质性环境规制、地方保护与产业结构升级:空间效应视角[J].中国软科学,2020(9):84-99.
[5]郭然,原毅军.环境规制、研发补贴与产业结构升级[J].科学学研究,2020(12):2140-2149.
[6]王鹏,郭彦晗,李彦.互联网发展对区域产业结构转型升级的影响——基于中介效应的研究[J].工业技术经济,2020 (10):135-144.
[7]杜金岷,韦施威,吴文洋.数字普惠金融促进了产业结构优化吗?[J].经济社会体制比较,2020(6):38-49.
[8]庞敏,夏周培.金融创新对产业结构升级的影响机制与效应分析——基于中介效应和空间效应的解析[J].工业技术经济,2020(9):30-38.
[9]邓创,曹子雯.中国金融结构与产业结构的时空演变特征及区制关联分析[J].江苏社会科学,2020(5):105-115.
[10]龙海明,姜辉,蒋鑫.金融发展影响产业结构优化的空间效应研究[J].湖南大学学报(社会科学版),2020(2):42-48.
[11] 张治栋,廖常文.技术创新与长江经济带产业结构升级——市场化的调节作用[J].科技进步与对策,2020 (7):26-34.
[12]董长瑞,邵瑛瑛.企业科技创新对产业结构升级的驱动效应——基于山东省的实证分析[J].济南大学学报(社会科学版),2020 (6):125-135+159-160.
[13]刘穷志,岳明阳,夏清华.科技体制综合改革能否实现产业结构优化升级?——来自试点城市的经验证据[J].财贸研究,2020(7):1-14+60.
[14]庄雷,王飞.技术创新、金融约束与产业结构研究[J].云南财经大学学报,2020(7):40-50.
[15]刘姝璠,张荣光,邓江晟.科技金融、高新技术产业与产业结构升级[J/OL].统计与决策,2021(2):145-149.
[16]邓创,曹子雯.金融结构市场化、技术创新与产业结构升级[J].西安交通大学学报(社会科学版),2020 (5):20-29.
[17]温忠麟,张雷,侯杰泰等.中介效应检验程序及其应用[J].心理学报,2004(5):614-620.
[18]李超.外商投资、产业结构与城乡收入差距——基于状态空间模型分析[J].贵州财经大学学报,2019(1):55-62.
	
搜索文章/转载
请戳菜单栏
qkbj@ste.gd.cn
投稿合作请洽
+86 20-8316-3251
商务合作请洽
本文摘选自《科技与金融》杂志2021年4月刊
欢迎订购本刊
文章评论